El desarrollo de la tecnología de la batería ha avanzado nuevas electrónicas, automóviles eléctricos y energía renovable.Saber cómo funcionan los diferentes métodos de carga de baterías es importante para obtener el mejor rendimiento y la vida más larga de las baterías.Este artículo analiza varios métodos de carga, como el voltaje constante (CV) y la corriente constante (CC), sus combinaciones y nuevos métodos como la carga de potencia constante (CP).También cubre técnicas avanzadas como la carga de pulso y el innovador método de carga IUI que están diseñados para tipos específicos de baterías.Cada método tiene sus propias ventajas y es mejor para ciertos usos, que muestra las necesidades detalladas de la tecnología de batería moderna.Este artículo no solo explica cómo funcionan estos métodos, sino que también muestra cómo se usan en el mundo de la tecnología actual, y prepara el escenario para una visión detallada de cada método de carga, cómo funcionan y los avances tecnológicos que siguen cambiando el campo deCarga de batería.

Figura 1: Funciona la carga de la batería
La carga de voltaje constante (CV) es un método en el que el voltaje aplicado a una batería permanece fijo durante todo el proceso de carga.Esto difiere de la carga de corriente constante (CC), donde la corriente se mantiene constante mientras el voltaje varía.En la carga de CV, la batería se carga hasta que alcanza un nivel de voltaje predeterminado.En este punto, se mantiene el voltaje y la corriente disminuye a medida que la batería se acerca a la carga completa.Este método asegura que el voltaje permanezca dentro de un rango seguro, evitando el sobrecarga y el daños potenciales en la batería.
Este método de carga requerido en la etapa final de la carga de las baterías de iones de litio.Proporciona un control de voltaje preciso, asegurando que cada celda en la batería alcance el nivel de carga óptimo sin exceder el límite de voltaje máximo que puede dañar la química y la vida útil de la batería.

Figura 2: Gráfico de la carga de voltaje constante (CV)
Aquí hay un desglose detallado de la fase de carga CV:
Durante la fase de corriente constante (CC), la batería se carga hasta que alcanza un umbral de voltaje específico, cerca de su capacidad máxima (alrededor de 4.2 voltios por celda para la mayoría de las baterías de iones de litio).
Una vez que se cumple este umbral, el circuito de carga pasa de CC al modo CV.El cargador luego aplica un voltaje constante a la batería.
Al comienzo de la fase CV, la corriente de carga es alta.A medida que el voltaje de la celda se acerca al voltaje del cargador, la corriente disminuye gradualmente.Esto sucede porque la diferencia potencial entre el cargador y la batería se reduce, limitando naturalmente el flujo de corriente de acuerdo con la ley de Ohm.
A medida que la batería continúa cargando, se requiere menos corriente para mantener el voltaje.Esta corriente decreciente indica que la batería está cerca de su capacidad de carga completa.
El proceso de carga termina cuando la corriente cae a una pequeña fracción de la tasa de carga inicial, a menudo alrededor del 10% de la corriente inicial.Esta caída en las señales de corriente de que la batería está completamente cargada.
La carga de corriente constante (CC) es un método de carga de batería donde se suministra una corriente fija a la batería hasta que alcanza un nivel de voltaje específico.A diferencia de la carga de voltaje constante (CV), donde el voltaje permanece estable y la corriente disminuye a medida que la batería se carga, la carga de CC mantiene una corriente estable durante todo el proceso de carga.Esta corriente es especificada por el fabricante de la batería o se determina en función de las características de la batería.A medida que la corriente constante fluye hacia la batería, su voltaje aumenta.Una vez que la batería alcanza su umbral de voltaje designado, el método de carga puede cambiar a la carga de voltaje constante para completar el ciclo, asegurando que la batería esté completamente cargada sin sobrecargar.
El principio básico de la carga de CC implica mantener la corriente que fluye en la batería constante durante toda la fase de carga.Esto se logra utilizando circuitos o dispositivos de regulación actual que monitorean y ajustan la salida actual para que coincida con el nivel deseado.Este método garantiza una transferencia de energía eficiente y minimiza el estrés en las celdas de la batería.La carga de corriente constante se usa ampliamente en diversas aplicaciones, incluida la electrónica de consumo, los vehículos eléctricos y los equipos industriales, debido a su simplicidad y efectividad en la carga de baterías de manera segura y confiable.

Figura 3: Gráfico de la carga de corriente constante
Los avances en este campo están impulsados por la necesidad de soluciones de carga más eficientes, más rápidas y seguras, centrándose en materiales innovadores, sistemas de gestión de baterías y algoritmos inteligentes.A continuación se muestra una visión general atractiva de estas tecnologías emergentes:
|
Categoría |
Tecnología |
Descripción |
Beneficios |
|
Materiales de electrodo |
Anodes de silicio |
Silicon puede almacenar diez veces más litio
iones que el grafito, lo que lleva a mayores densidades de energía y una carga más rápida. |
Mayor densidad de energía, carga más rápida |
|
Anodos de metal de litio |
Lithium Metal ofrece una mayor capacidad pero
plantea riesgos de cortocircuitos de las dendritas.Las soluciones incluyen avanzado
electrolitos y diseños de estado sólido. |
Mayor capacidad y seguridad mejorada |
|
|
Sistemas de gestión de baterías (BMS) |
Carga de CC adaptativa |
Monitorea la carga de cada celda, la temperatura,
y salud, ajustando la corriente en tiempo real utilizando el aprendizaje automático y
Algoritmos avanzados. |
Eficiencia optimizada, batería prolongada
vida |
|
Carga inalámbrica CC |
Acoplamiento inductivo resonante y
Resonancia magnética |
Técnicas que permiten energía eficiente
Transferir a distancias cortas sin conectores físicos, que ahora se escala
Para aplicaciones más grandes como los EV. |
Reabastecimiento de energía rápida y sin problemas para
EVS |
|
Nanotecnología |
Nanotubos de carbono y grafeno |
Materiales nanoestructurados con excepcional
conductividad eléctrica y área de superficie, incorporada a la batería
electrodos para reducir los tiempos de carga y mejorar la durabilidad. |
Carga más rápida, batería mejorada
durabilidad |
|
Sistemas de baterías de supercondensadores híbridos |
Combinando supercondensadores para rápido
Carga durante la fase CC con baterías para almacenamiento de alta energía. |
Alta potencia y densidad de energía, rápido
capacidades de carga |
|
|
Software y control |
AI y modelado predictivo |
Utiliza un vasto análisis de datos para determinar
Parámetros de carga óptimos, aprendiendo de ciclos anteriores para refinar la carga
Perfiles y evitar sobrecarga y sobrecalentamiento. |
Más rápido, más seguro y más eficiente
carga |
|
Integración de IoT |
Cargadores y baterías habilitadas para IoT |
Habilita la comunicación entre cargadores,
baterías y sistemas centralizados para optimizar los horarios de carga y monitorear
Salud de la batería en tiempo real. |
Ahorro de costos, equilibrio de carga de cuadrícula,
Monitoreo en tiempo real para la longevidad y confiabilidad de la batería |
|
Regulatoria y estandarización |
Esfuerzos regulatorios y de estandarización |
Establece pautas para seguros y
Implementación eficiente de nuevas tecnologías de carga de CC, asegurando
Compatibilidad y seguridad en diferentes aplicaciones y fabricantes. |
Facilita la integración del mercado, garantiza
seguridad y compatibilidad |
La carga híbrida de CVCC (voltaje constante, corriente constante) es una forma moderna de cargar baterías.Utiliza tanto voltaje constante como técnicas de corriente constante para mejorar el proceso de carga.El objetivo principal de la carga de CVCC híbrido es hacer que las baterías duren más, se cargan de manera segura y funcionen de manera eficiente.Este método es útil para automóviles eléctricos, dispositivos de consumo y almacenamiento de energía renovable.
La carga tradicional utiliza voltaje constante o corriente constante todo el tiempo.En la carga de corriente constante (CC), la batería obtiene una corriente estable hasta que alcanza un cierto voltaje.En la carga de voltaje constante (CV), la batería obtiene un voltaje constante, mientras que la corriente disminuye lentamente a medida que la batería se llena.La carga de CVCC híbrido combina estas dos formas de solucionar sus problemas y usar sus fortalezas.
El propósito de la carga híbrida de CVCC es triple.Primero, su objetivo es acortar el tiempo de carga mientras llena de forma segura la batería a su capacidad máxima.Esto es muy importante para cosas como los autos eléctricos que necesitan una carga rápida para reducir el tiempo de inactividad.En segundo lugar, ayuda a la batería a durar más evitando sobrecarga y sobrecalentamiento, problemas comunes con la carga tradicional.Al controlar cuidadosamente el voltaje y la corriente, la carga de CVCC híbrido reduce el desgaste en las celdas de la batería.Por último, este método aumenta la eficiencia energética al asegurarse de que la potencia entregada a la batería esté optimizada, reduciendo la pérdida de energía y haciendo un mejor uso de la energía disponible.

Figura 4: Gráfico de la carga de CVCC
El método de carga híbrida de voltaje constante/corriente constante (CVCC) comienza cargando la batería con una corriente alta.Durante esta fase, el sistema de carga ofrece una corriente alta y alta a la batería, independientemente de su voltaje.Este enfoque carga rápidamente la batería a un nivel de su capacidad en poco tiempo.La fase de alta corriente es necesario para llevar rápidamente la batería a un estado utilizable.
A medida que la batería absorbe la corriente entrante, su voltaje aumenta.El sistema de carga monitorea el voltaje y la corriente de la batería para garantizar que no se excedan los límites de seguridad.Esta fase es efectiva para baterías capaces de manejar entradas de alta corriente sin daños o calor excesivo.La duración de esta fase varía según el tipo de batería y la capacidad, pero tiene como objetivo cargar rápidamente la batería a un nivel de voltaje predeterminado.
A medida que el voltaje de la batería se acerca al objetivo, el sistema de carga pasa a la segunda fase, donde se reduce la corriente.Una vez que la batería alcanza un umbral de voltaje específico, el sistema disminuye la corriente mientras mantiene constante el voltaje.Esto ayuda a evitar sobrecarga y reduce el estrés en las celdas de la batería.
La fase de transición requiere un equilibrio entre mantener el voltaje constante y garantizar que la corriente permanezca dentro de niveles seguros.El sistema utiliza algoritmos y mecanismos de retroalimentación para monitorear el estado de la batería y ajustar la corriente.El objetivo es acercar la batería a la capacidad total y minimizar los riesgos de sobrecarga.Esta fase ajusta la entrada de energía para garantizar la eficiencia y seguridad de carga óptimas.
En la fase final, el sistema de carga mantiene un voltaje constante al tiempo que permite que la corriente disminuya a cero.A medida que la batería se acerca a la carga completa, la corriente debe mantener el voltaje constante disminuye.Esta fase asegura que la batería esté completamente cargada sin sobrecargar o causar daños.
Mantener un voltaje constante en esta fase permite que la batería complete su ciclo de carga de manera segura y eficiente.El sistema de carga continúa monitoreando el voltaje y la corriente de la batería, haciendo ajustes en tiempo real para mantener el voltaje estable.Una vez que la corriente alcanza un nivel o cero mínimo, el proceso de carga está completo y la batería está completamente cargada.
Esta fase final maximiza la capacidad de carga y la preparación de la batería para su uso.Al controlar el voltaje y la corriente en todo el proceso, el método CVCC híbrido proporciona una forma confiable y eficiente de cargar baterías, mejorar el rendimiento y extender la vida útil.
La carga de potencia constante utiliza un enfoque dinámico.Comienza con una corriente alta cuando el voltaje de la batería es bajo y reduce la corriente a medida que aumenta el voltaje.Este método adapta la entrega de energía en función del estado de la batería, maximizando la eficiencia de carga y reduciendo el estrés de la batería.
La carga de potencia constante es una técnica utilizada principalmente para cargar baterías donde la potencia de entrada se mantiene constante durante todo el ciclo de carga.La potencia, definida como la velocidad de transferencia de energía, se calcula multiplicando el voltaje (v) y la corriente (i) (p = v x I).En este método, a medida que aumenta el voltaje de la batería, la corriente se ajusta para garantizar que la energía permanezca constante.Este enfoque optimiza las fases iniciales cuando la batería puede aceptar de manera segura las tasas de transferencia de energía más altas sin sobrecalentamiento o estrés.

Figura 5: Gráfico de la corriente constante frente a la carga de potencia constante
La carga de potencia constante es diferente de los métodos más comunes como la corriente constante (CC) y la carga de voltaje constante (CV).En la carga de corriente constante, el cargador da una corriente estable a la batería incluso cuando cambia el voltaje.Esto funciona bien al principio, pero se vuelve menos eficiente a medida que la batería se vuelve más llena, puede causar demasiado voltaje y estresar la batería.
La carga de voltaje constante establece el cargador en un voltaje fijo, y la corriente disminuye a medida que la batería se llena.Esto ayuda a evitar sobrecarga y garantiza las cargas de la batería completamente sin superar el límite de voltaje.
La carga de potencia constante intenta combinar los buenos puntos de ambos métodos.Ajusta tanto la corriente como el voltaje para mantener el nivel de potencia estable.Esto puede cargar la batería rápidamente al principio, como la corriente constante, y luego reducir la velocidad a medida que aumenta el voltaje de la batería, como el voltaje constante.Este método ayuda a controlar el estrés en la batería, por lo que es una buena opción para las cosas que necesitan carga rápida y duración de la batería, como automóviles eléctricos y dispositivos de alta capacidad.
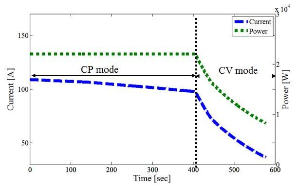
Voltaje constante de potencia constante (CPCV) combina dos métodos: voltaje constante (CV) y potencia constante (CP).En el modo CV, el cargador mantiene el voltaje estable para evitar sobrecargar la batería, cuando está casi lleno.En el modo CP, utilizado al principio, el cargador da energía a una velocidad constante para la carga rápida, controlando el calor y el estrés de la batería.
Este método comienza con una potencia constante para administrar rápidamente energía a altas corrientes cuando el voltaje de la batería es bajo.A medida que la batería se acerca a la carga completa, cambia a la carga de voltaje constante para refinar el proceso y evitar la sobretensión.Esta estrategia es efectiva para cargar rápidamente las baterías hasta una capacidad sustancial antes de optimizar las etapas de carga finales, asegurando la eficiencia y la seguridad.
El CPCV funciona con diferentes tipos de baterías, como el iones de litio, que necesitan una carga cuidadosa.El sistema cambia entre CP y CV en función del nivel de carga de la batería y otros factores.

Figura 6: Gráfico de la carga constante de voltaje constante (CPCV)
La carga de CPCV (voltaje constante de potencia constante) es beneficiosa para las baterías de iones de litio (iones de litio) y polímero de litio (LIPO).Estos tipos de baterías son comunes en dispositivos modernos de alta tecnología.La carga de CPCV comienza con una fase de potencia constante, donde la batería absorbe rápidamente mucha energía sin alcanzar los altos niveles de voltaje demasiado pronto.Una vez que la batería alcanza un cierto voltaje, la carga cambia a una fase de voltaje constante, manteniendo el voltaje estable para completar el proceso de carga de manera segura sin estresar o sobrecalentar la batería.
• Películas y tabletas inteligentes: estos dispositivos necesitan una carga rápida y eficiente para mejorar la duración y el rendimiento de la batería.
• Las computadoras portátiles: similar a los teléfonos inteligentes, las computadoras portátiles se benefician de una carga rápida pero segura, ayuda a mantener la salud de la batería para su uso prolongado en la energía de la batería.
• Vehículos eléctricos (EV): los EV tienen paquetes de baterías grandes que se benefician de la carga de CPCV.El método carga rápidamente la batería a un nivel alto antes de cambiar a un voltaje constante para terminar el proceso de manera segura.
• Herramientas eléctricas: las baterías de alta capacidad en las herramientas eléctricas se pueden recargar de manera rápida y segura con CPCV, reduciendo el tiempo de inactividad y asegurando que las herramientas estén listas para su uso.
La carga de pulso es un método utilizado para cargar baterías aplicando ráfagas de alta corriente, seguido de períodos de descanso sin corriente o una descarga breve.A diferencia de los métodos tradicionales que usan un flujo constante de corriente, la carga de pulso implica ciclos de carga y descanso.Esta técnica tiene como objetivo replicar los procesos de carga natural que se encuentran en los sistemas biológicos, optimizando el equilibrio entre la entrada de energía y la estabilidad química de la batería.
Este método se puede adaptar para diferentes tipos de baterías, como el plomo-ácido, el níquel-cadmio (NICD), el hidruro de níquel-metal (NIMH) y las baterías de iones de litio.Cada tipo puede requerir configuraciones de pulso únicas, incluidas las variaciones en la resistencia al pulso, la duración y los períodos de descanso.
Pulse La carga de un gran beneficio es que reduce la formación de dendritas en las baterías de iones de litio.Las dendritas son estructuras similares a la aguja que pueden formarse durante la carga y causar cortocircuitos, reduciendo la duración de la batería y la seguridad.La naturaleza de detener y iniciar la carga de pulso ayuda a controlar cómo los depósitos de litio en los electrodos, reduciendo el riesgo de que se forman las dendritas.
La carga de pulso puede mejorar el rendimiento de la batería y la vida útil al reducir la generación de calor durante la carga.Esto ayuda a mantener la batería a la temperatura correcta, conserva su capacidad y extiende su vida.Esto es importante para baterías de alta capacidad en vehículos eléctricos y dispositivos electrónicos portátiles.
La carga de pulso también puede acelerar el proceso de carga sin dañar la batería.Permite una restauración energética más rápida en comparación con la carga de corriente continua, y útil para aplicaciones que necesitan tiempos de recarga rápidos, como sistemas de energía de emergencia o durante paradas automotrices cortas.

Figura 7: Carga de pulso de la batería de iones de litio
La carga de pulso es un método avanzado para cargar baterías que tienen como objetivo mejorar la eficiencia y la vida útil de las baterías recargables como el níquel-cadmio (NICD), las células de hidruro de níquel-metal (NIMH) y las células de iones de litio (iones de litio).A diferencia de la carga tradicional de corriente continua continua (CC), la carga de pulso ofrece carga en ráfagas o pulsos cortos y controlados.Este método optimiza el proceso de carga y aborda los problemas comunes de la batería, como el sobrecalentamiento y el "efecto de memoria" en las baterías NICD.
La carga de pulso funciona aplicando intermitentemente una corriente más alta a la batería durante un breve período seguido de un período de descanso sin corriente.Estos pulsos reducen el estrés térmico general en la batería al permitir que el calor se disipe durante los períodos de descanso, minimizando el aumento de la temperatura y el daño potencial.
Los cargadores de pulso usan dos tipos principales de pulsos:
• Pulsos de carga: pulsos de alta corriente que cargan rápidamente la batería.La amplitud, la duración y la frecuencia de estos pulsos varían según el tipo de batería y la condición.
• Pulsos de descarga: ocasionalmente intercalados con pulsos de carga, estos ayudan a destratificar el electrolito de la batería y reducir el efecto de memoria en las baterías NICD.
El cargador controla la duración de los pulsos de carga y los intervalos entre ellos utilizando mecanismos de retroalimentación que monitorean los parámetros de la batería, como el voltaje y la temperatura.Esta retroalimentación permite que el cargador ajuste el proceso de carga, mejorando la aceptación de carga de la batería y la salud general.
La carga de goteo es una técnica utilizada para mantener las baterías completamente cargadas mientras evita sobrecarga.Funciona entregando un flujo de electricidad pequeño y consistente con la batería, coincidiendo con su tasa natural de autolargo.Este método es útil para dispositivos que no se usan con frecuencia, asegurando que permanezcan cargados y listos sin dañar la salud de la batería.
Este proceso aplica una corriente mínima y continua, ideal para mantener la carga de una batería durante largos períodos.La tasa de carga lenta mantiene la batería sana y lista para usar, incluso cuando está completamente cargada.Si bien es beneficioso para las baterías de espera, no se recomienda para las baterías NIMH y de iones de litio, ya que pueden dañarse mediante una carga prolongada de bajo nivel.
El objetivo principal de la carga de goteo es mantener una batería a una carga óptima indefinidamente.El proceso de carga de goteo implica regular cuidadosamente la corriente eléctrica que fluye hacia la batería.El cargador primero verifica el voltaje de la batería para decidir cuánta corriente proporcionar.Si el voltaje está por debajo del objetivo, el cargador suministra una corriente más alta para recargarlo.Una vez que se alcanza el voltaje objetivo, el cargador cambia a una corriente estable más baja que coincide con la tasa de autolargo de la batería.Este enfoque mantiene la batería completamente cargada sin el riesgo de sobrecarga, extendiendo su vida y rendimiento.

Figura 8: Carga de batería de goteo
Batterias de plomo-ácido: la carga de flotación y pulso son adecuados.La carga de flotación a menudo se prefiere para usos estacionarios como sistemas de emergencia.
Batilías de níquel-cadmio: estas baterías pueden usar la carga de pulso y flotación, beneficioso al sobrecargar es una preocupación.
Batterías de iones de litio: estas no son adecuadas para la carga de goteo o flotante debido a su sensibilidad a la sobrecarga.La carga de pulso, con ráfagas controladas y circuitos apropiados, es más adecuado para proteger y mantener baterías de iones de litio.
La carga de corriente constante de múltiples etapas (MCC) es una técnica avanzada para cargar celdas de batería, especialmente baterías de iones de litio y plomo-ácido.Este método implica distintas etapas de carga de corriente constante, cada una adaptada a diferentes fases del ciclo de carga de la batería.El objetivo principal de la carga de MCC es mejorar la salud de la batería y la longevidad ajustando la corriente entregada durante varias etapas del proceso de carga.
En la primera etapa, se aplica una corriente constante más alta para cargar rápidamente la batería a una porción de su capacidad.Esta fase, conocida como carga a granel, aumenta eficientemente el nivel de carga de la batería.
A medida que la batería alcanza ciertos umbrales de voltaje, el sistema de carga cambia a etapas con corrientes más bajas.Estas etapas proporcionan un control más fino, evitando el sobrecarga y la reducción de la tensión en las celdas de la batería.Esta cuidadosa modulación ayuda a mantener la vida útil y la eficiencia de la batería.

Figura 9: Gráfico de la carga de corriente constante de varias etapas (MCC)
|
Aspecto |
Cargo de MCC |
|
Batería
Salud |
Minimiza el estrés durante la carga |
|
Actual
Ajuste |
Ajusta según el nivel de carga de la batería |
|
Calentamiento excesivo
Prevención |
Reduce la corriente a medida que aumenta la carga a
evitar el sobrecalentamiento |
|
Batería
Longevidad |
Mejora la salud y la longevidad en general |
|
Temperatura
Gestión |
Mantiene la temperatura en rangos óptimos |
|
Voltaje
Gestión |
Previene el estrés de voltaje excesivo |
|
Eficiencia |
Se carga rápidamente sin sacrificar
seguridad |
|
Capacidad
y estabilidad |
Mantiene una mayor capacidad y estabilidad
por vida |
|
Solicitud
Idoneidad |
Adecuado para varias aplicaciones
(Electrónica, vehículos) |
La carga de corriente cónica, derivada del método de voltaje constante, reduce la corriente de carga a medida que aumenta el voltaje de la batería.Este método más simple requiere un monitoreo cuidadoso para evitar sobrecarga, especialmente en baterías de plomo-ácido selladas, para evitar la degradación o la falla.
A medida que la batería se carga, su resistencia interna aumenta y puede causar temperaturas más altas y posibles daños si la corriente de carga alta inicial se mantiene igual.Al reducir la corriente, el cargador asegura que la batería obtenga menos corriente a medida que cobra más, reduciendo el riesgo de sobrecalentarse y extender la vida útil de la batería.
En comparación con otros métodos de carga de batería, la carga de corriente cónica es más simple y, a menudo, más segura.Es diferente de las técnicas más complejas como la carga de pulso o la carga de corriente constante/voltaje constante (CC/CV) utilizada para baterías de iones de litio.Esos métodos pueden cargar baterías más rápido y de manera más eficiente, pero necesitan sistemas más avanzados para controlar el proceso de carga de manera segura.
También conocido como carga de pulso reflejo o negativo, la carga de eructos implica pulsos breves de descarga durante los descansos de carga.La carga de Burp es un método utilizado para mejorar la longevidad y la eficiencia de las baterías a base de níquel, como las baterías de níquel-cadmio (NICD) e hidruro de níquel-metal (NIMH).Esta técnica implica interrumpir brevemente el proceso de carga con pulsos de descarga cortas.Estas breves descargas liberan burbujas de gas que se acumulan en las celdas de la batería durante la carga normal.Esta liberación, a menudo llamada "Burping", previene la acumulación de presión y reduce el efecto de la memoria, una condición que puede disminuir la capacidad y la vida útil de una batería si se recarga repetidamente sin ser descargada por completo.

Figura 10: Diagrama de carga de eructos
Así es como funciona y por qué es beneficioso:
Al cargarse, estas baterías pueden formar burbujas de gas en sus electrodos, bloqueando el flujo de electricidad.La carga de eructos implica descargas cortas, o "eructos", que ayudan a reventar estas burbujas, manteniendo la electricidad fluyendo suavemente.
Las descargas breves ayudan a mantener el entorno interno de la batería estable.La reducción de la acumulación de gas y la presión interna, la carga de eructos garantiza una distribución más uniforme de la carga dentro de la batería.
La carga de eructos reduce el riesgo de sobrecarga y sobrecalentamiento, problemas comunes con los métodos de carga tradicionales.Esto hace que el proceso de carga sea más rápido y garantiza las cargas de la batería de manera total y uniforme.
Al prevenir la acumulación de gas y el sobrecalentamiento, la carga de eructos ayuda a mantener los componentes internos de la batería.Esto conduce a una vida útil más larga para la batería.
La carga de IUI es un método moderno para la carga rápida de las baterías estándar de plomo inundado.Implica tres fases: una fase de corriente constante inicial hasta que se alcanza un voltaje establecido, una fase de voltaje constante donde la corriente disminuye hasta que otro nivel preestablecido y un retorno final a la corriente constante.Este enfoque garantiza incluso cargar todas las células, maximizando el rendimiento y la vida útil.
El método de carga de IUI es beneficioso para las baterías estándar de plomo inundado de plomo porque garantiza incluso cargarse en todas las celdas, bueno para mantener un rendimiento óptimo y extender la vida útil general de la batería.La carga de IUI controla la corriente y el voltaje para evitar sobrecarga o poco a poco, reduciendo el riesgo de falla de la batería.También acorta el tiempo de carga, lo que lo hace eficiente y práctico para muchos usos.

Figura 11: Diagrama de carga de IUI
La carga de flotación es una técnica utilizada principalmente con baterías de plomo-ácido en los sistemas de energía de emergencia.Este método implica conectar la batería y la carga a una fuente de voltaje constante.El voltaje se mantiene justo por debajo de la capacidad máxima de la batería.Este cuidadoso control del voltaje evita la sobrecarga y garantiza que la batería siempre esté lista para su uso.
Prácticamente, la carga flotante mantiene la batería completamente lista sin el riesgo de sobrecarga.La fuente de voltaje constante compensa la autolargo natural de la batería, manteniendo su carga en un nivel óptimo.Este método es muy útil para los sistemas en los que la batería debe estar lista en cualquier momento, como fuentes de alimentación ininterrumpidos (UPS), iluminación de emergencia y generadores de espera.
El uso de la carga de flotación ayuda a mantener la confiabilidad de la batería, asegurándose de que pueda proporcionar energía cuando sea necesario.También reduce la necesidad de mantenimiento y monitoreo frecuentes, lo que lo convierte en una forma práctica y eficiente de mantener listos los sistemas de energía de emergencia.

Figura 12: Diagrama de carga flotante
La carga aleatoria es un método utilizado cuando la fuente de alimentación no es confiable o cambia mucho.Esto a menudo sucede en situaciones como vehículos con velocidades de motor cambiantes o paneles solares afectados por el clima.
En los vehículos, las velocidades del motor pueden variar mucho, lo que provoca salidas de energía irregulares que dificultan que una batería cargue correctamente.Del mismo modo, los paneles solares producen electricidad en función de la luz solar y pueden cambiar rápidamente debido a las nubes o la hora del día.Estos cambios pueden poner mucho estrés en las baterías si no se manejan correctamente.
Para abordar estos problemas, la carga aleatoria utiliza técnicas especiales para administrar condiciones de carga variable.Estos incluyen algoritmos avanzados y sistemas de carga inteligente que se ajustan en tiempo real a los cambios en la fuente de alimentación.Con el monitoreo continuo de la alimentación de entrada y adaptando el proceso de carga, estos sistemas protegen la batería del daño causado por la alimentación fluctuante.
La carga aleatoria también garantiza que la batería funcione bien y dure más, incluso con una fuente de energía inconsistente.Evita sobrecarga durante las oleadas de energía y se asegura de que haya suficiente carga durante las caídas en el poder.

Figura 13: Gráfico para la carga aleatoria
Explorar diferentes formas de cargar baterías muestra la importancia de mejorar la tecnología de la batería para satisfacer las crecientes necesidades de los dispositivos y sistemas modernos.Métodos básicos como el voltaje constante y la corriente constante, así como las técnicas más avanzadas como el CVCC híbrido y la carga de potencia constante, cada una tiene sus propias ventajas y son mejores para tipos específicos de baterías y usos.El progreso en materiales para electrodos, sistemas de gestión de baterías y el uso de tecnología inteligente es importante para hacer que las baterías funcionen mejor y más seguras.El futuro de la carga de la batería depende del desarrollo y el uso de estas tecnologías para garantizar que sean sostenibles, eficientes y confiables.
Carga lenta: este método utiliza potencia de CA estándar (corriente alterna) que se encuentra en la configuración residencial.Los cargadores operan a niveles de potencia más bajos (hasta 3 kW), lo que lo hace adecuado para la carga durante la noche.
Cargo rápido: los cargadores rápidos utilizan niveles más altos de potencia de CA (hasta 22 kW) y se encuentran en estaciones de carga pública.Pueden cargar una batería de vehículo eléctrico (EV) más rápido que los cargadores lentos, generalmente en unas pocas horas.
Carga rápida: estos son los cargadores más rápidos disponibles, utilizando energía DC (corriente continua).Pueden encender la mayor parte de la capacidad de la batería de un EV en menos de una hora.Los niveles de potencia comienzan desde alrededor de 50 kW y pueden subir a 350 kW para los sistemas más avanzados.
Por minuto de carga: esta estructura de precios cobra a los usuarios en función de la cantidad de tiempo conectado al cargador, independientemente de la cantidad de electricidad consumida.
Por carga de kWh: este es un modelo de precios basado en el uso donde los usuarios se facturan en función de la electricidad consumida por su vehículo en kilovatios-hora.Este método se considera más justo ya que se correlaciona directamente con la energía utilizada.
Cargo de tarifa plana: algunas estaciones de carga ofrecen una tarifa plana para una ventana de carga específica, como una hora o un día, y pueden ser beneficiosos para paradas más largas.
Modo 1 Carga: esta es la forma más simple de carga EV, donde el vehículo está conectado directamente a una salida eléctrica doméstica estándar sin ningún equipo especial.Es lento y se usa para vehículos más pequeños o la carga de la casa durante la noche.
Modo 2 Carga: este modo también implica cargar desde una toma de corriente estándar, pero incluye un cable con un dispositivo de protección incorporado.Este dispositivo salvaguarda contra descargas eléctricas y otros riesgos eléctricos potenciales, lo que lo hace más seguro que el Modo 1 y más versátil.
Evite la carga extrema: no cargue rutinariamente la batería al 100% ni la permita drenar al 0%.Mantenga el cargo entre 20% y 80%.
Temperatura de control: las baterías funcionan mejor a temperaturas moderadas.Evite exponer la batería al frío o calor extremo.
Use cargadores recomendados por el fabricante: siempre use el equipo de carga recomendado por el fabricante del vehículo para evitar dañar la batería.
Uso y mantenimiento regular: Uso regular y control de mantenimiento oportuno ayudan a mantener la salud de la batería.Los largos períodos de inactividad pueden degradar el rendimiento de la batería.
Velocidad de carga: la carga rápida es conveniente pero puede enfatizar la batería.Las velocidades de carga lentas o moderadas son preferibles para el uso diario para extender la duración de la batería.
Control de temperatura: Cargar en un entorno controlado donde la temperatura es moderada ayuda a preservar la salud y la eficiencia de la batería.
Rango de carga: mantener el estado de carga de la batería entre 20% y 80% durante el uso regular puede afectar su longevidad y rendimiento.
Envíe una consulta, responderemos de inmediato.
en 03/11/2025
en 31/10/2025
en 18/04/8000 147757
en 18/04/2000 111936
en 18/04/1600 111349
en 18/04/0400 83721
en 01/01/1970 79508
en 01/01/1970 66910
en 01/01/1970 63046
en 01/01/1970 63012
en 01/01/1970 54081
en 01/01/1970 52127